业界动态
    电 话:086-0592-2213035
    传 真:086-0592-5058034
    地址:厦门市同安区同集北路552号(3#厂房一层)
变压器的空负载试验测试
当前位置 : 首页 > 业界动态
变压器的空负载试验测试
* 来源 : * 作者 : mfxmqh * 发表时间 : 2023-02-04 * 浏览 : 34
基本概念


空载试验:从变压器的某一绕组(一般从二次低压侧)施加正弦波额定频率的额定电压,其余绕组开路,测量空载电流和空载损耗。如果试验条件有限,电源电压达不到额定电压,可在非额定电压条件下试验,这种试验方法误差较大,一般只用于检查变压器有无故障,只有试验电压达到额定电压的80%以上才可用来测试空载损耗。


短路试验:将变压器低压大电流侧人工短联接,从电压高的一侧线圈的额定分接头处通入额定频率的试验电压,使绕组中电流达到额定值,然后测量输入功率和施加的电压(即短路损耗和短路电压)以及电流值。通常试验电源的容量应为被试品容量的30%。


零序阻抗:一台变压器对各相序(正、负、零)电压、电流所变现的阻抗叫做序阻抗,它们分别为正序、负序和零序阻抗。正序阻抗实际上就是正常运行时所表现的阻抗,当系统不对称运行时,就会产生零序电流,变压器的正序阻抗和负序阻抗相等,并等于变压器的短路阻抗。对零序阻抗而言,由于任一瞬间,所有三相的零序电流的大小和方向都是一样的,即它们的总和不等于零,所以零序阻抗与正序阻抗和负序阻抗有本质的区别,它的大小不仅与绕组的连接方式有关,还与铁芯结构有关,因此,零序阻抗必须由实测确定。


测试方法


⑴ 单相空载测试

单相空载测试项目通常用来测试单相变压器的空载损耗和空载电流百分比。也可用来对三相变压器进行逐相测试(主要用来检测被测变压器有没有单相故障)。在现场无三相电源的情况下,也需要用到这种试验方法。
单相空载用仪器的A相电压和A相电流进行测试。如图所示,用一单相电源作为测试电源,火线接到测试仪的A相电流端子正端,黄钳子粗线接到A相电流端子的负端,细线接到A相电压端子Ua,红钳子粗线直接接到测试电源的零线,细线接到B相电压端子Ub,两把钳子分别夹到低压侧两个接线柱上。高压侧开路。
图片
这种方法也适用于用单相电源对三相变压器进行空载损耗的测量。当做三相空载试验后发现损耗超过标准时,应分别测量三相损耗,通过对各相空载损耗的分析比较,观察空载损耗在各相的分布情况,以检查各相绕组或磁路中有无局部缺陷。依次将变压器的一相绕组短路,其他两相绕组施加电压,测量空载损耗和空载电流。接线图参照图所示,根据被测变压器的绕组连接方式加压方法可分为下图所示三种情况。
a.加压绕组为△连接:图片
测量时依次对ab、bc、ca相加压,非加压绕组短接,测得的损耗按以下公式计算:
图片
图片
注:式中In为试验线圈的额定电流


b.加压绕组为Y连接,且有中性点引出:
图片
测量时非加压绕组短接;施加的电压为二倍的相电压,损耗结果计算按式1,空载电流结果按式2(式中0.289改为0.333)。


c.加压绕组为Y连接,无中性点引出:
图片
由于没有引出中性点,无法对非加压绕组短路时,则测量时必须将二次绕组的相应相短路;施加的电压应为二倍的相电压。
⑵ 三相空载测试
按照图所示的方法接线:图片
用三相调压器作为试验电源,将调压器的输出端接到容量测试仪的电流端子的正端;三把测试钳的粗线按颜色分别接到测试仪的电流端子的负端;三把测试钳的细线按颜色分别接到测试仪的电压端子上。再将三把测试钳夹到被测变压器的低压侧接线柱上,黄钳接A相柱、绿钳接B相柱、红钳接C相柱。高压侧开路。

⑶ 单相短路测试

单相短路测试项目通常用来测试单相变压器的短路损耗和阻抗电压。另外,在测试三相变压器时,没有三相电源或电源容量较小时,及在制造过程或运行中需逐相检查以确定故障相时,也需要用单相短路试验方法;按照图的方法接线:
图片
用一单相电源作为测试电源,火线接到测试仪的A相电流端子正端,黄钳子粗线接到A相电流端子的负端,细线接到A相电压端子Ua,红钳子粗线直接接到测试电源的零线,细线接到B相电压端子Ub,两把钳子分别夹到低压侧两个接线柱上。高压侧用专用短接线短接,注意一定要短接良好,否则会影响测试数据。
用单相电源对三相变压器进行逐相短路试验的方法是将变压器的低压三相的出线端短路连接,在高压侧进行三次测量,根据被测变压器的绕组连接方式可分为以下两种情况,见a、b。
a.加压绕组为△连接
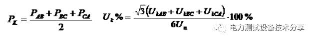
高压侧加压,同时非加压侧(低压侧)的三相出线端需人工短连接。绕组中的电流应为额定电流的2/图片倍,测得的数值可按下面公式换算三相短路损耗和短路电压:
图片
 注:式中Un为加压侧额定电压
b.加压绕组为Y连接
    依次在任两相之间加压,同时非加压侧的三相出线端人工短连接。   
图片注:式中Un为加压侧额定电压

⑷ 三相短路测试

按照图所示的方法接线:
图片
注意:如果高压或中压侧出线套管装有环形电流互感器时,试验前电流互感器的二次一定要短接。
用三相调压器作为试验电源,将调压器的输出端接到容量测试仪的电流端子的正端;三把测试钳的粗线按颜色分别接到测试仪的电流端子的负端;三把测试钳的细线按颜色分别接到测试仪的电压端子上。再将三把测试钳夹到被测变压器的高压侧接线柱上,黄钳接A相柱、绿钳接B相柱、红钳接C相柱。再用专用短路线把低压侧三个接线柱短接起来,注意一定要良好短接,否则会影响测试数据。


⑸ 零序阻抗测试

一台变压器的零序电压和零序电流所表现出的阻抗叫零序阻抗。当系统不对称运行时,就会产生零序电流。它的大小不仅与绕组的连接方式有关,还与铁芯结构有关。
对于变压器测量零序阻抗按照图所示的方法接线:图片
用单相调压器作为试验电源,将调压器的一个输出端接到损耗测试仪的A相电流端子的正端,另一个输出端接到测试仪C相电流端子的负端;黄色测试钳的粗线接到测试仪的A相电流端子的负端,电压测试线接到A相电压端子;红色测试钳的粗线接到测试仪C相电流端子的负端(即与调压器的输出接到一起),细线接到测试仪的B相电压端子上。再将被测变压器的Yn侧接线方式的A、B、C相接线柱短接到一起,并连接黄色测试钳;0相接线柱连接到红色测试钳。注意一定要良好短接,否则会影响测试数据。

测试步骤

1)三相电源测量变压器空载、负载损耗测试步骤
A. 先进行测试参数设置;
B. 按照三相短路测试图接好测试线;
C. 进行三相短路试验并锁定试验数据;
D. 按照三相空载测试图接好测试线;
E. 进行三相空载试验并锁定试验数据;
F. 进入测试结果屏查看所有数据;
G. 保存测试记录。
2)单相电源测量变压器空载、负载损耗测试步骤
A. 先进行测试参数设置;
B. 按照单相短路测试图接好测试线;
C. 进行单相短路试验;
D. 记录短路试验测试结果
E. 按照单相空载测试图接好测试线;
F. 进行单相空载试验;
G. 记录空载试验测试结果
注意事项
1.在测量过程中一定不要接触测试线的金属部分,以避免被电击伤。
    2.测量接线一定要严格按说明书操作,否则后果自负。
    3.测试之前一定要认真检查设置的参数是否正确。
    4.最好使用有地线的电源插座。
    5.不能在电压和电流过量限的情况下工作。
    6.短路试验时,非加压侧的短接必须良好,否则会对测试结果有影响。
    7.做短路试验时,如果高压或中压侧出线套管装有环形电流互感器时,试验前电流互感器的二次一定要短接。
8.试验接线工作必须在被试线路接地的情况下进行,防止感应电压触电。所有短路、接地和引线都应有足够的截面,且必须连接牢靠。测试组织工作要严密,通信顺畅,以保证测试工作安全顺利进行。
仪器介绍:
变压器空载负载特性测试仪是我公司精心开发、研制的专门用于变压器空 载、负载参数和零序阻抗参数测量的高精度仪器。它可对各种变压器的空载电 流、空载损耗、短路损耗、阻抗电压、谐波含量、畸变率等一系列参数可进行 精密的测量。该仪器具有体积小、重量轻、测量准确度高、稳定性好、操作简便易学等 优点,完全可取代以往利用多表法测量变压器损耗和容量的方法,接线简单,测 试、记录方便,大大提高了工作效率。它以大屏幕图形式真彩色液晶作为显示 窗口,图形式菜单操作并配有汉字提示,集多参量于一屏的显示界面,人机对 话界面友好,使用简便、快捷,是各级电力用户的首选产品。
仪器特点:
1、可测量各种类型的变压器的空载电流、空载损耗、阻抗电压、负载损耗、 零序阻抗。 
2、可自动进行波形畸变校正,温度校正(提供简单的温度校正和附加损耗 分别校正两种方式),电压校正(非额定电压下的空载试验),电流校正(非额 定电流条件下的短路试验),非常适合没有做稍大容量变压器短路试验条件的单 位。 
3、可测量三相电压、三相电流、平均电压、平均电流、两相有功功率(因 采用两功率表法,在此只显示 A、C 两相的功率)、总功率。4
、可测量各相电压和电流的 2-42 次谐波的含量以及各个信号的总畸变率 (谐波失真度)。 
5、可显示各相电压和电流的实时波形,直观的显示出波形的畸变情况。
6、电压回路宽量限:电压最大可测量到 750V,不用切换档位即可保证精 度。不会因电压档位选错而对仪器本身有所损坏。
7、大屏幕、全汉字菜单及操作提示实现友好的人机对话,导电橡胶按键使 操作更简便,高亮度的真彩色液晶显示,可适应冬夏各季。 
 8、用户可随时将测试的数据通过微型打印机将结果打印出来。
9、所有的测试结果可以记录的形式保存起来,以备查阅。 
10、内置真时钟,可实时显示当前的日期和时间,在存储记录时可同时将试验时间存储下来。
仪器参数:


1、输入特性
  电压测量范围:0~750V 宽量限。
  电流测量范围:0~5~100A 内部全部自动切换量程。
2、准确度
  电压:±0.2%
  电流:±0.2%量程
 功率:±0.5%(CosΦ>0.1),±1.0%(0.05<CosΦ<0.1)
3、工作温度
  工作温度:-10℃~ +40℃
4、工作电源
  工作电源:交流 160V~265V
5、绝缘
  (1)电压、电流输入端对机壳的绝缘电阻≥100MΩ。
  (2)工作电源输入端对外壳之间承受工频 2KV(有效值),历时 1 分钟实验。
6、体积:32cm×24cm×13cm
7、重量:3kg

来源:电力变压器视界